he exchange rate changes influence prices directly or indirectly, through its effects on the recomposition and the level of the aggregate demand and affect, consequently, the monetary policy targets. Therefore, it is important to take into account the degree of reaction of prices to the exchange rate movements for improving the effectiveness of the monetary policy and facilitating the achievement of prices stability objective. The degree of pass-through, i.e. the degree of transmission of changes in the exchange rate to domestic prices, is valuable information for an effective implementation of monetary policy. More fundamentally, the degree of Exchange Rate Pass-Through (ERPT) could impact the effectiveness of certain choices relating to monetary policy and exchange rates regimes, particularly those related to the transition towards an explicit inflation targeting framework and a flexible exchange rate regime (Choudhri and Hakura (2001)).
For these and many others a reason, an abundant literature on the determinants and measurement of the degree of ERPT to prices has been developed. Some works adopt microeconomic explanations, while others are rather favorable to the macroeconomic considerations. The available empirical literature has identified some stylized facts. Four facts of them deserve to be recalled.
First, it is broadly verified that the ERPT is incomplete and weak, by contrast to the law of one price (LOP) and the principle of purchasing power parity (PPP), that suggest a complete transmission and long term pass-through equal to one. Secondly, this transmission takes time and operates with a more or less long lag. It is less obvious in the short term compared to the long term. Thirdly, this transmission differs according to the nature of products; it is less important for the differentiated and non-tradable products than the basic and tradable ones. Finally, from the dynamic point of view, the degree of transmission has declined significantly over time.
Given these stylized facts widely verified internationally, it is important to measure the degree of that pass-through in the particular context of Morocco for the following main considerations.
First, because Morocco is a small economy that currently has one of the highest openness rate (nearly 65%). This exposes it naturally to various exogenous shocks, and imposes the exchange rate management as key variable of the macroeconomic stabilization policies and, in some cases, of the price competitiveness policy. Second, as Morocco has just devoted his price liberalization policy, by dismantling its price support mechanism for petroleum products1, the responsiveness of domestic to import prices should significantly increase in the future 2 Last but not least, the measurement of passthrough in the particular context of Morocco is justified by the ambition to migrate to a more flexible exchange rate regime and an explicit inflation targeting framework . Third, because Morocco achieves for the last twenty years moderate inflation permitted, among other reasons, by modernizing of the monetary policy framework, which is conducted independently, since 2006, to ensure the price stability objective. In this case, low inflation environment, coupled with a credible monetary policy, reduces the degree of pass-through, as claimed by many theoretical and empirical works. recently announced by the national authorities. The available literature shows that a low degree of passthrough is likely to promote this transition.
Moreover, the merit of this paper is that it aims to measure the degree of the exchange rate passthrough not only to the Consumer Price Index (CPI), but also to each of its two components; i.e. prices of tradable and non-tradable goods. Indeed, it is widely accepted that the adequate condition for conducting effective monetary policy, is when the pass-through is high for the firsts and low for the seconds.
Given the foregoing, this paper aims, in particular, to verify the following two assumptions: i) Does modernization of the framework for monetary policy, intervened in 2006, has impacted the degree of the exchange rate pass-through? ii) Is this pass-through more important for tradable than non-tradable goods?
The remainder of the paper is structured as follows. Section 2 presents a brief overview of literature on the determinants of the ERPT. Section 3 presents some stylized facts of the exchange rate and prices dynamics in Morocco. Section 4 exposed the adopted methodology. Section 5 discusses the results. Finally, section 6 is served to conclude.
Literature Review
The available literature can be classified into two opposite approaches (Campa and Goldberg (2002)). The first, the micro-economic one, explains the degree of the ERPT to prices by strategic interaction between firms in an imperfect competition framework and by some structural features of international trade. The second highlights the macroeconomic foundations, such as nominal rigidities and monetary policy framework. These two approaches highlight different explanatory factors for the degree of pass-through, which were subject to numerous empirical works. The major explanation, in this respect, is what is known as pricing to market (PTM) policy applied by international firms in the particular context of imperfectly competitive market structures. PTM refers to the phenomenon of firms adjusting the magnitude of their markups for each export market, so as to smooth the impact of the exchange rate fluctuations. The magnitude of the ERPT reflects, in this case, the trade-off between sustaining the profit margins versus market share of the exporter.
The subsequent extensions of this theory of price discrimination, based on the pioneering work of Betts and Devereux (1996), have abandoned the assumption of producer currency pricing (PCP) in favor of local currency pricing (LCP) hypothesis. In this context, the local prices would be naturally insensitive to any exchange rate shock, if import prices have been fixed in advance in local currency. Releasing the latter hypothesis, numerous works have shown that the responsiveness of prices to the exchange rates changes becomes different to zero but remains incomplete, due to the sticky import prices in local currency. Indeed, firms change rarely their prices or at least gradually, given the explicit costs of such adjustment. Similarly, the less responsive of consumer prices to exchange rate movements is attributed also to the well known nominal rigidities (Devereux and Yetman, 2002).
Other works have shown that the degree of transmission of the exchange rate changes on local prices depends also on the basket of the index consumer prices. Indeed, as the process of that transmission comprises two stages, on import prices firstly, and then on global price index, the respective shares of tradable goods and non-tradable ones in that basket influence significantly the degree of transmission of exchange rate fluctuations to domestic prices (Betts and Kehoe (2001); Corsetti and Dedola, (2002); Burstein, Neves and Rebelo (2000)).
In this perspective, we note that the tradable goods prices movements are transmitted to domestic prices through two channels. The first refers to the prices of imported goods that influence directly domestic prices through the imported component in the consumer price index. The second channel relates to the exported goods, so that any depreciation of the local currency could increase their prices, which are exogenously determined on the world market and are therefore "imposed" to the small and open economies.
For its part, the transmission of exchange rate changes to the price of non-tradable goods is based on two mechanisms. The first is the "Balassa-Samuelson" effect wish explains the increase of those prices as a response to the increase of tradable goods prices recorded during the developing countries catching up. The second relates to the behavior of producers who tend to substitute local products to those imported (Burstein, Eichenbaum and Rebelo (2002); Caramazza (1986)). Indeed, a depreciation of the local currency, which tends to push up the prices of imported goods, should have an effect more pronounced on demand of competing goods produced locally when the crosselasticity of the concerned goods is high. In that case, pressure on local prices and local nominal wages should increase too.
Moreover, even assuming that the prices of domestic products are insensitive to exchange rates movement, the transmission to consumer prices may
Volume XVI Issue V Version I Year ( )
An Empirical Investigation of the Exchange Rate Pass-Through to Prices in Morocco not be full, even if the transmission to the import prices is. Two main reasons explain that. First, the distribution costs (transportation costs, marketing ...) could be adjusted in response to the local currency changes. Second, the application by foreign wholesalers pricing strategies on the domestic market which are different than these applied by the local retailers (Bacchetta and Van Wincoop (2002)).
In addition to the pricing differentiation strategies, the product differentiation strategies have also been advanced by the literature as an explanation of the incomplete transmission of exchange rates changes to domestic prices. The available literature have, in particular, highlighted the impact of significant change in the structure of international trade, notably the growing part of intermediate and semi-finished products, in relationship with the increasing integration of the world economy and the global value chains.
Indeed, this vertical integration involves, among others, two effects that are likely to reduce the transmission of the exchange rate changes to domestic prices. On the one hand, the distribution of production among many countries which are exposed to different currency movements is effectively likely to reduce the final impact of the exchange rate on the domestic prices (among others, Aksoy and Riyanto, (2000), Murray (2008)). On the other hand, this incomplete transmission could be attributed also to the growing weight of emerging markets in international trade and the exchange rate regimes they apply (Bussiere and Peltonen (2008), Marazzi and Sheets, 2007)).
Moreover, Goldbeg (2005) considers that the decrease of the ERPT depends to the change recorded on the imported goods basket; to more differentiated products to the detriment of commodities.
Unlike previous works, a no less abundant literature argues the macroeconomic determinants of the exchange rate pass-through. The well-known nominal rigidities phenomenon, i.e. the slow adjustment of consumer prices, is the basic foundation in this regard (Taylor (2000), Engel (2002)).
The recent literature has examined the relationship between the ERPT and the monetary policy regime. It shown that the decline of the transmission of the exchange rate movements to domestic prices is attributable, in large measure, to the modernization of monetary policy frameworks, which are more oriented towards prices stabilization and provide, for this purpose, a credible anchor for inflation expectations (Taylor (2000); Bailliu Fujii (2004); Gagnon and Ihrig (2004); Bouakez Rebei (2008); and Murchison (2009)).
In this respect, two levers, that are intended to reinforce each other, can be distinguished, namely the decrease in the persistence exchange rate and prices shocks and the reinforcing of the monetary policy credibility. Thus, according to these studies, made in different analytical frameworks (dynamic stochastic general equilibrium models, Structural VAR ... ..), the transmission of shocks tends to decrease in economies where inflation is low and where monetary policy is more credible. Thus, the credibility and effectiveness of monetary policy to fight inflation should lead firms to reduce their perception of the persistence of any negative impact of the exchange rate on inflation. In this perspective, the degree of pass-through drops because these firms will be less eager to transmit the fluctuations in exchange rates to prices.
Indeed, Devereux and Yetman (2002) have shown, in their model with nominal rigidities, that firms choose the optimal frequency of price adjustments, comparing the expected discounted value of losses triggered by indexing or not prices to the anticipated inflation related to the exchange rate movements. These authors have found that the losses caused by the absence of price adjustments are low, when monetary policy is credible and inflation is low and stable. Therefore, they have suggested that the ERPT is sensitive to the monetary policy regime, precisely because the degree of price stickiness is endogenous to the monetary regime.
This negative correlation between the credibility of monetary policy and the degree of the ERPT is so obvious in the context of inflation targeting policies. Indeed, when the central bank announces its explicit inflation target and acts to keep inflation around that target, the depreciation of the exchange rate forces the central bank to quickly tighten policy for preventing the negative impact of that depreciation on inflation, which is likely to reinforce the anchoring of inflation expectations (Eckstein and Soffer, Y. ( 2008)).
In fact, the decline of the degree of transmission of the exchange rate movements to prices is observed today even in developing countries, where that transmission was in the past stronger and faster than in advanced economies (Frankel, Parsley and Wei, 2005). The survey of the Bank for International Settlements shows that the decline of that transmission is explained in ten of the fifteen emerging countries of the sample by the implementation of inflation targeting policy (Mihaljek and Klau, 2008).
Conversely, a low degree of the ERPT could provide greater flexibility to the monetary policy and facilitate the implementation of an inflation targeting strategy (Choudhri and Hakura, 2001). Moreover, according to Devereux (2001), in a small and open economy with a high pass-through, the trade-off between output volatility and inflation volatility is more pronounced, regardless the rule of the monetary policy. But, with low pass-through, this trade-off disappears. In addition, several empirical works have shown that tradable goods are more sensitive to the exchange rates changes than the non-tradable ones. This differentiated Given the above, it turns out that the available literature attributes the decrease of the degree of the ERPT to prices to both micro and macro-economic variables. This has led some researchers to combine these two considerations. Campa and Goldberg (2002) have shown, in this context, that both factors affect that in OECD countries. Nevertheless, the micro-economic determinants outweigh at the long term.
Morocco has adopted a conventional anchoring system of its nominal exchange rate to a currency basket, replacing the exchange rate peg to the French franc which prevailed until May 1973. The composition and weighting of this basket has been modified at several times in order to better reflect the structure of its external economic relationship.
This administered floating regime and the real appreciation of the Moroccan dirham (MAD) that ensued have involved repeated devaluation policies during the 1980s and early 1990s to for reestablishing the external balance. However, despite this policy, the MAD has accumulated a nominal effective appreciation of nearly 25% during the 1990s. This situation has penalized economic operators and affected seriously their international competitiveness, which has forced the authorities to abandon these policies of devaluation. This did not allow either to stabilize the MAD value (Figure 1). Anyway, it is widely admitted that the fixed exchange regime in Morocco has provided an important nominal anchor and protected the national economy of nominal shocks 3 3 Several studies show, moreover, that there is no sign of misalignment of the MAD that could be prejudicial Moroccan economy in the last 20 years (see for example the reports of the IMF under the IV Article).
. Thus, inflation has remained moderate and moved around an average of 2.5% over the period 1990-2015. It is only of 1.7% in average since 1996, year when Morocco has supplanted quantitative monetary policy in favor of a market techniques based policy. Not only inflation declined in level but also in volatility; which is clearly weaker than the NEER. Nevertheless, by categories, it turns out that the relative volatility of consumer price index of non-tradable goods (CPINT) to NEER is less important than that of consumer price index of tradable goods (CPIT). In this work, we estimate the ERPT using a Structural VAR model, which has the advantage of distinguishing different shocks in the exchange rate derived from the dynamics of the economy. Three specifications are developed to measure the degree of transmission of the NEER changes to a particular price index: the general consumer price index, the tradable price index and the non tradable price index.
In its general form, the unrestricted VAR is defined as follows:
0 ( ) ( ) p t t t t t A L y u with A L A L = = = ? With ( )? ? ? ? ? ? ? ? ? ? ? ? ? ? ? ? ? ? ? ? ? ? ? ? ? ? ? ? ? ? = × ? ? ? ? ? ? ? ? ? ? ? ? ? ? ? ? ? ? ? ? ? ?(2)Regarding the first specification, small economies such as Morocco cannot influence the dynamics of foreign prices unexpected movements, which are influenced by their own shocks. Therefore, we can write:
ipch ipch t t u e =(3)Unexpected movements of the exchange rate are due to their own structural shocks because the exchange rate regime is fixed and managed exogenously by the monetary authority. Consequently, we can write:
s s t t u e =(4)Unexpected movements of the CPI are due to unexpected movements in foreign prices, the structural shocks of the exchange rate and to the responses to its own shocks. However, they are not immediately affected by unexpected movements of the output gap. Under these assumptions, we can write:
pOverall, the shock system has the following form:
1 0 0 0 0 1 0 0 1 0 1 hcpi hcpi t? ? ? ? ? ? ? ? ? ? ? ? ? ? ? ? ? ? = × ? ? ? ? ? ? ? ? ? ? ? ? ? ? ? ? ? ? ? ? ? ?(7)As indicated above, our goal is to measure also the pass-through of changes in the exchange rate to both CPI components: the price index of tradable goods ( t cpit ) and the price index of non tradable goods ( t cpint ). In this perspective, we have developed, in addition to the general specification above, two other specifications to verify if the prices of these two categories of goods react differently to the exchange rate changes.
It should be noted that the specification to capture the sensitivity of tradable goods to changes in the exchange rate maintains the same shocks system above:
1 0 0 0 0 1 0 0 1 0 1 hcpi hcpi t t s s t t cpit cpit t t gap gap t t u e u e u e u e ? ? ? ? ? ? ? ? ? ? ? ? ? ? ? ? ? ? ? ? ? ? ? = × ? ? ? ? ? ? ? ? ? ? ? ? ? ? ? ? ? ? ? ? ? ?(8)The matrix to measure the degree of passthrough of non-tradable goods includes has implied certain arrangements in order to capture the Balassa-Samuelson effect and the substitution effect. Thus, the matrix representation of shocks has the following form:
1 0 0 0 1 0 0 1 0 1 s s t? ? ? ? ? ? ? ? ? ? ? ? ? ? ? ? ? ? = × ? ? ? ? ? ? ? ? ? ? ? ? ? ? ? ? ? ? ? ? ? ?(9)Volume XVI Issue V Version I Year
V.
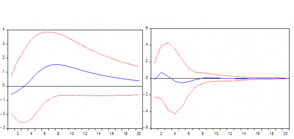
The methodology described above is applied to quarterly data covering the period 1990-2015. The following table provides some descriptive statistics of the data. Tests show that all of the series are stationary in first difference, except that of the output gap, which is stationary in level. Overall, the empirical results validate the stylized facts of the particular context of Morocco. First, the impulse response analysis (Figures A.1, A.2 and A.3) suggests that a depreciation of the exchange rate leads to an immediate increase in the various price indices.
Nevertheless, the reaction of the price of tradable goods to the exchange rate changes is higher than that of non-tradable ones. Compared with the period 1990-2005, the impact of the exchange rate shock on prices decreased significantly over the period 2006-2015 and that shock dissipates today more quickly (6 quarters).
The incompleteness and the decline in responsiveness of prices to the exchange rate shocks are confirmed by our calculations of ERPT ( )
,The results show that ERPT is incomplete. It does not exceed 0.17 on average over the period 1990-2015. This incompleteness is confirmed by other similar works covering practically the same period of analysis. Indeed, the IMF estimated the short-term ERPT at 0. In addition to its incompleteness, the EPPT has dropped significantly over time, particularly since the modernization of the framework of monetary policy in 2006. The following table shows the ERPT price during the two periods under retained. It shows, moreover, the high reactivity of tradable prices to changes in exchange rates compared to prices of non-tradable. Several factors explain the low and the decreasing degree of ERPT in Morocco.
First, and as suggested by the theoretical works, the weak degree of the ERPT in Morocco would be linked to the low level of inflation observed since the mid-90s, which was favored notably by i) the fixed exchange rate regime that allowed import price stability (Figure A.4), ii) the compensation and price support mechanism, which has received significant budget allocations (Table A.2) iii) the fiscal policy oriented to the reduction of the public deficit over the period (1990)(1991)(1992)(1993)(1994)(1995)(1996)(1997)(1998)(1999)(2000)(2001)(2002)(2003)(2004)(2005)(2006)(2007)(2008) and iv) the decrease in the frequency and level of the minimum wage increase (Table A3).
Second, the independence conferred to the central bank's monetary policy and the consecration of price stability as the primary objective since 2006 have contributed to reducing the ERPT degree. Indeed, a credible monetary policy that manages to effectively anchor inflation expectations reduces the level of ERPT. The estimation results confirm this fact widely verified internationally.
Third, the decline of the ERPT can be also explained by to the structure of imports, which is dominated by semi-manufactures and capital goods that undergo less the impact of transitory changes in the exchange rate. Indeed, these two categories of goods represent about half of imports over the period analyzed. Similarly, the importance of imports under the temporary admission regime (about a quarter on averages) may also explain the lower level of the ERPT .
Finally, the increasing openness of the national economy (opening rate of nearly 65% in 2014 against 40% in 1990) and the proliferation of free and preferential trade agreements with the its partners (about 60 countries) have allowed to the Moroccan economy to diversify its sources of supply and reduce consequently the degree of exposure to external price shocks.
Measuring the impact of the exchange rate changes on inflation is particularly important for the case of Morocco, which plans to adopt an inflation targeting. To conduct such a policy, a thorough understanding in terms of the degree and magnitude of the effect of changes in exchange rates on different categories of the CPI is necessary.
In this paper, we showed that pass-through of exchange rate changes on prices in Morocco is incomplete, low and falling. Several factors explain this stylized fact: the structure of imports, the level of inflation, the modernization of the monetary policy, and the degree of openness of the Moroccan economy. The results also indicate that the reaction of prices of tradable goods is higher than the prices of non-tradable. These results are consistent with theoretical lessons as well as results of empirical investigations.
A moderate ERPT in Morocco is decisive at both for future direction of monetary policy and for choice of an optimal exchange rate regime. The current level of ERPT to CPI would be likely to strengthen the transition to a more flexible exchange rate regime, since than the variations in the exchange rate would be transmitted only partially. Similarly, this level of passthrough is also likely to fulfill successfully the targeting inflation strategy requirements. 2006-2015





| With s t e exchange rate shock, cpit t e | prices shock of | cpit t u = | ? | s t e e t cpit + | (10) | ||||||
| tradable goods, cpint t e | price shock of non tradable goods | cpint t u | ? = | s t e | + | ? | cpit t e | + | cpint t e | ||
| and gap t e excess demand shock (output gap). | |||||||||||
| It follows in particular that unexpected | |||||||||||
| movements in prices of non-tradable goods depend on | |||||||||||
| both the structural shocks of the exchange rate and | |||||||||||
| unexpected movements of the prices of tradable goods, | |||||||||||
| which will depend, in contrast, only on the rate | |||||||||||
| exchange shock. The following equations illustrate these | |||||||||||
| restrictions: | |||||||||||
| Variables | Mean | Median Max | Min | S.D | S.D related to NEER volatility | N | |
| CPIH | 1,41 | 2,07 | 4,40 -14,42 | 3,33 | - | 99 | |
| CPI | 2,50 | 1,98 | 8,90 | -0,53 | 2,09 | 0,88 | 100 |
| Non tradable CPI | 2,54 | 2,08 | 7,52 | -1,09 | 1,76 | 0,74 | 100 |
| Tradable CPI | 2,15 | 1,61 | 7,56 | -1,71 | 2,02 | 0,85 | 100 |
| Output gap | 0,00 | 0,00 | 0,12 | -0,07 | 0,03 | 0,01 | 104 |
| NEER | 0,77 | 0,54 | 7,68 | -5,39 | 2,38 | 1,00 | 100 |
| Source: Authors' calculations | |||||||
| Variables | ADF p-Value in level | ADF p-Value in first difference | Phillips-Perron in level | Phillips-Perron in first difference |
| t p | 0.151 | 0.000 | 0.151 | 0.000 |
| t gap | 0.000 | - | 0.000 | - |
| t cpit | 0.098 | 0.000 | 0.177 | 0.000 |
| t cpint | 0.572 | 0.000 | 0.321 | 0.000 |
| t s | 0.136 | 0.000 | 0.784 | 0.000 |
| t hcpi | 0.718 | 0.000 | 0.699 | 0.000 |
| Source: Authors' calculations | ||||
| 1990-2005 | 2006-2015 |
| Supplies, Beverages and Tobacco | 11,6 | 12,4 | 8,4 | 8,5 | 9,2 | 10,8 | 10,7 | 10,7 | 9,32 |
| Raw products | 7,8 | 6,3 | 7,5 | 6,5 | 5,2 | 6,2 | 25,1 | 27,6 | 26,8 |
| Semifinished products | 23,1 | 21,2 | 22,6 | 22,2 | 20,3 | 21,4 | 6,34 | 5,94 | 4,67 |
| Capital goods | 25 | 18,5 | 22 | 20,9 | 24,8 | 19,1 | 21,4 | 19,9 | 21 |
| Consumer goods | 23,5 | 23,9 | 23,7 | 20,3 | 20 | 17,2 | 19,0 | 18,9 | 21,1 |
| Energy and lubricants | 9 | 17,6 | 15,6 | 21,4 | 20,5 | 25,3 | 17,2 | 16,8 | 16,9 |
| Source : Eurostat and HCP; Authors' calculations | |||||||||
| Table A.2 : Compensation expenditures and oil prices | |||||||||
| 2000-2005 | 2006-2010 | 2011 | 2012 | 2013 | 2014 | ||||
| Compensation (MAD MM) | 6522,0 | 20282,8 | 48830,0 54870,0 | 41600,0 | 32648,0 | ||||
| Compensation as % of total public expenditures | 5,5 | 11,4 | 20,3 | 21,2 | 16,5 | 12,6 | |||
| Brent Oil Price ($ / barrel) | 30,3 | 72,7 | 106,0 | 105,0 | 104,1 | 96,2 | |||
| Growth rate of the minimum wage | Budget balance (% of GDP) | ||
| 01/05/1990 | 10% | 1990 | -3,5 |
| 01/01/1991 | 15% | 1994 | -3,29 |
| 01/05/1992 | 10% | 1996 | -3 |
| 01/07/1994 | 10% | 1998 | -3,4 |
| 01/07/1996 | 10% | 2000-05 | -3,7 |
| 01/07/2000 | 10% | 2006 | -1,7 |
| 07/06/2004 | 5% | 2007 | 0,6 |
| 01/07/2004 | 5% | 2008 | 0,4 |
| 01/07/2008 | 5% | 2009 | -2,2 |
| 01/07/2009 | 5% | 2010 | -4,7 |
| 01/07/2011 | 10% | 2011 | -6,1 |
| 02/07/2012 | 5% | PLF 2012 | -5 |
« Modeling Exchange Rate Passthrough after Large Devaluations. Journal of Monetary Economics 2007. 54 (2) p. .
The Responsiveness of Consumer Prices to Exchange Rates: A Synthesis of Some New Open Economy Macro Models. The Manchester School 2000. 70 p. .
« International dimensions of optimal monetary policy. Journal of Monetary Economics 2005. 52 (2) p. .
« Has exchange rate pass-through really declined? Evidence from Canada. Journal of International Economics 2008. 2008. 75 p. .
Exchange Rate Pass-Through in the Euro Area. IMF Staff Papers, n° 2006. 53 (1) p. .
«Monetary policy and exchange rate pass-through«. International Journal of Finance and Economics 2004. 2004. 9 p. .
Some Puzzles Related to Exchange Rate Pass-Through». http://www.bankofcanada.ca/wp-content/uploads/2010/03/050508_e.pdf banque du canada 2008.
«Low inflation, pass-through, and the pricing power of firms. European Economic Review June, 2000. Elsevier. 44 (7) p. .
Rate Pass-Through Into Import Prices In Developing Countries: An Empirical Investigation. Economics Bulletin 2005. 3 p. .
«The sensitivity of the CPI to exchange rates: distribution margins, imported inputs, and trade exposure. The Review of Economics and Statistics May 2010. 92 p. .
Etablissement des prix et transmission des variations du taux de change : la théorie et les faits. http://www.banqueducanada.ca/wp-content/uploads/2010/08/devereux1.pdf Ajustement des prix et politique monétaire, actes d'un colloque tenu à la Banque du Canada,
« Declining Exchange Rate Pass-Through to U.S. Import Prices: The Potential Role of Global Factors ». Journal of International Money and Finance 2007. 26 (6) p. .
International Monetary Fund. 37. Olivei and Giovanni, P. «Exchange Rates and the Prices of Manufactured Products Imported into the United States. New England Economic Review 2006. 2002. (150) . (An Empirical Investigation of the Exchange Rate Pass-Through to Inflation in Tanzania)
« Evaluation of Exchanges Rate Pass-through to Domestic Prices in Morocco. American Journal of Economics 2015. 5 (5) p. .
« Why do consumer prices react less than import prices to exchange rates. Journal of European Economics Association 2003. p. .
« A theory of the currency denomination of international trade. Journal of International Economics 2005. 67 (2) p. .
«Forecasting with Bayesian Vector Autoregressions-Five Years of Experience». Journal of Business & Economic Statistics January, 1986. American Statistical Association. 4 (1) p. .
Relationship Between exchange Spleens and Inflation Targeting Revisited. NBER Working Paper n°12163, (Cambridge, Massachusetts
Exchange rate passthrough implications for monetary policy: the Israeli case», BIS Papers chapters. Bank for International Settlements, 2008. 35 p. .
« Exchange Rate Passthrough in Vertically Related Markets. Review of International Economics 2000. 8 (2) p. .